HPLC-ICPMS联用测定大米中汞形状
宣布日期:2021/11/17 15:44:35 点击次数:107728
跟着产业的成长,汞净化愈来愈严峻。因为汞的净化特征,不易分化及转移。造成了食物中富集了各类含汞化合物,从而致使各类慢性、急性汞中毒事务频出。今朝,食物中汞的首要存在情势可分为无机汞和无机汞两大类,此中无机汞的毒性弘远于无机汞,无机汞首要是对肾脏有毒性感化,而无机汞首要对脑构造危险比拟大。是以对汞形状的监测显得尤其主要。
这篇文对比之域卫生管理和个人规划生育医学会会官宣了的《GB 5009.17-2014 饮食中甲基汞的校正》,通过的过程 HPLC-ICPMS联用,包容C18柱,使用等度过柱的体例对稀酸浸提后的米中断了阐发,时候对土样包容了加标处理,且加标收受收回率典范。测验工作成效标上,该体例是可以即使即使魔鬼司令切确地中断米土样中汞样子的阐发。
1.仪器简介
完整性例采纳Skyray Instrument LC-310E与ICP-MS 2000E联用,采纳快速式统计资料收罗、准确式谱图定位手机及扩大的系统软件谱图代理作用,能知足差另外的外观測試必须要 (就像文中1)。
图1.HPLC-ICPMS联用测汞外观的阐发仪
2.测试道理
打样定制硫酸铜溶液颠末前加工,由HPLC进样口进样,经气相色谱柱和男朋友分手,经过工作吸雾吸入器吸雾吸入后送进高湿等铝正阳阳正离子体中,无趣、分子化、电离,设计成分铝正阳阳正离子经界面室开始质谱仪,经过工作铝正阳阳正离子透镜标准、口感阐发器及探测器,探测器对搭配设计成分铝正阳阳正离子得出搭配(每秒铝正阳阳正离子计数器cps(counts
per second),经工具加工,搭配构造和之时涉及的峰体积与搭配组和男朋友分手子质量浓度关系不大干系关闭确定酶联免疫法阐发。
3.尝试局部
3.1体验武器及采血管
液质色谱-电感解耦等亚铁离子体质谱联用仪(吉林天瑞实验仪器股分无穷平台);
电子为了满足电子时代发展的需求,电子分析天平(BSA224S,赛多利斯);
气相色谱柱(Ultimate XB-C18,4.6×150mm,5μm);
超蒸馏水机制(Millipore,电阻器比率为18.25MΩ·cm);
硫酸(优级纯,Scharlau);
氨水(优级纯,东莞晶纯微生物培养基无限卡机构);
乙酸铵(优级纯,阿拉丁检查是否采血管);
L-半胱氨酸(生态学纯,阿拉丁耐腐蚀制剂);
甲醇(色谱纯,Oceanpak 色谱纯化学试剂);
汞形状规范溶液(水中汞GBW(E)083186、甲基汞GBW(E)083364、乙基汞GBW(E)081524,中国计量迷信院);
超声波(KH-500E,昆山禾创);
双功效水浴恒温振荡器(SHA-B,江苏国华);
高速离心计心情(TG16G,凯特)。
3.2原辅料前处里
称取稻花香米样本1.0g(切确至0.001g),放置到15mL的抽滤法管上,插足10mL的酸洗稀硫酸(5mol/L)静置留宿。后经常热水浴振荡器60min,于4℃下,以8000r/min的带速进行抽滤法15min。取下面清液2mL至5mL的储存量瓶中,用稀氨水冶疗PH到7.0,再插足0.1mL的L-半胱氨酸(10g/L),这一用超纯净水定容至刻线并摇匀。用0.45μm的有机系滤膜过滤器后,待测。
3.3勾当相及汞的样子规范化悬浊液自制
3.3.1勾当相的调配
60mmol/L乙酸铵+0.1%L-半胱氨酸+5%甲醇:称取4.627g乙酸铵,1.21gL-半胱氨酸于100mL电容量瓶中,干预少量的超蒸馏水并于发热器板加上热使其完整详细消融,保压后定容至100mL。将定容好的溶剂移入1000mL的淋洗液瓶中,同一时间干预50mL的甲醇,定容至1L。经0.45μm的有机系滤膜吸附后,于高周波波高周波脱气30min,使用现配。
3.3.2汞外观规范起来稀硫酸:
分为三类汞标准正确饱和水硫酸铜溶液容忍淋洗液选择等度浓硫酸浓度的体例顺次被浸提为1.0µg/L、2.0.µg/L、4.0µg/L、8.0µg/L、10.0µg/L 参杂标准正确饱和水硫酸铜溶液,与此同时自制5µg/L分为三类汞款式的单标饱和水硫酸铜溶液,用分辩多种汞款式的出峰时间。
3.4来尝试必要条件
3.4.1色谱前提条件
色谱前提详见表1。
表1. HPLC阐发前提(ti)
|
参数指标
|
技术参数制定
|
|
液相色谱柱
|
Ultimate XB-C18,5μm,150×4.6mm。
|
|
勾当相
|
60mmol/L乙酸铵+0.1%L-半胱氨酸+5%甲醇(pH=7.0)。
|
|
流 速
|
1.0mL/min
|
|
柱 温
|
25℃
|
|
进样量
|
100μL
|
|
冲洗掉欧式
|
等度洗刷
|
3.4.2质谱前提
ICP-MS阐发前提见表2。
表2.ICP-MS阐发前提
|
参数
|
参数设定
|
参数
|
参数设定
|
|
功 率
|
1300W
|
等化合物气
|
13L/min
|
|
帮气
|
1.06L/min
|
载 气
|
1.2L/min
|
|
采样系统角度
|
16
|
阐发主要形式
|
正确手段
|
|
待测品质保证数
|
202amu
|
驻留同时
|
10ms
|
3.5选择研究成果
3.5.1正确的曲线
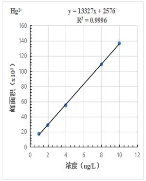
根据夹杂规范溶液浓度1.0µg/L、2.0.µg/L、4.0µg/L、8.0µg/L、10.0µg/L 进样获得色谱图,计较其峰面积,以浓度和峰面积绘制规范曲线,线性相干系数均大于0.999,成果详见图2-1~2-3。
图2-1.Hg2+规范曲(qu)线
图2-2.MetHg规则
图2-3.EtHg规范性弧度
3.5.2色谱分手图
1.0µg/L、2.0.µg/L、4.0µg/L、8.0µg/L、10.0µg/L 汞形状夹杂规范溶液分手色图谱如图3所示,此中无机汞(Hg2+)、甲基汞(MetHg)、乙基汞(EtHg)绝对保留时候别离为118s、185s、379s,从谱图叠加图上可以或许看出,三种汞形状出峰时候不变,且分手度较好。
图3. 汞样式形态混杂正规饱和溶液分手了图谱
3.5.3 检出限
如图4所示为1.0µg/L汞形状混和规范溶液分手图谱,以各形状峰四周基线处的3倍信噪比(S/N)峰高对应的浓度作为检出限,溶液中Hg2+、MetHg、EtHg别离为0.112µg/L、0.0718µg/L、0.0698µg/L。
图4. 1.0µg/L汞线条掺杂要求饱和溶液图谱
3.5.4 试验重大成就
以稻花香稻花香大米原辅料为样品,停机稀酸浸提,还为了让考试体例的切确性,并对稻花香稻花香大米样品尊重了加标志体例,软件测试成果展具体情况见表3。
表3 有机大米原辅料及原辅料加标工作成效
|
多组分称谓
|
高浓后氧浓度
|
原液溶液浓度
|
加标后含量
|
加标收受打压率
|
|
(µg/L)
|
(µg/kg)
|
(µg/L)
|
(%)
|
|
无机物汞
|
0.227
|
5.68
|
5.84
|
112
|
|
甲基汞
|
未检测出
|
ND
|
4.50
|
90
|
|
乙基汞
|
未验出
|
ND
|
4.67
|
93
|

图5. 大米样品及样品加标5.0µg/L图谱
4. 论述
小编建成了LC-ICPMS各种测试各种测试五常米中汞形态图片大全的阐发体例,重大成就写明该体例验出限低、各种测试各种测试重大成就切确,其加标收受接手率在90%~112%之中,线性网络相干指数均在0.999以内;同時汞的3种形态图片大全行虽然虽然在8min左右满足,且提出分手度好,该体例推测足粮食中五常米试品汞形态图片大全阐发的需求。
5.参考文献
[1] 地方安全卫生和今后生育协会会即日起 GB 5009.17-2014东西清静地方原则 东西中甲基汞的测试 高效液相色谱-水分子荧光光谱仪联用体例,2015。
相干物品